help me to solve this equation using iterative method

help me to solve this equation using iterative method - help me to solve this equation using iterative method - Messages

#1 Posted: 9/1/2025 6:32:26 AM
Spinach

Spinach

0 likes in 3 posts.

Group: User

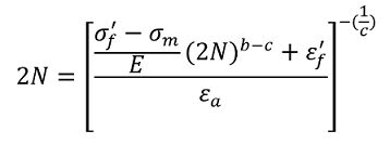
Please help me solve this equation to find the value of 2N; the values of other variables are known. This equation can be easily solved using iterative methods in Excel. How can I solve it in SMath?
EN疲劳寿命迭代公式 - 副本.PNG
equation.sm (47.88 KiB) downloaded 712 time(s).
捕获.PNG
Edited 9/1/2025 6:59:59 AM
#2 Posted: 9/1/2025 7:38:49 AM
Davide Carpi

Davide Carpi

1,436 likes in 2,918 posts.

Group: Moderator

Here it is a solution using built-in solve

equation_solve.sm (51.75 KiB) downloaded 718 time(s).
If you like my plugins please consider to support the program buying a license; for personal contributions to me: paypal.me/dcprojects
#3 Posted: 9/1/2025 9:22:40 AM
Spinach

Spinach

0 likes in 3 posts.

Group: User

Wrote

Here it is a solution using built-in solve

equation_solve.sm (51.75 KiB) downloaded 718 time(s).



Thank you very much for your clarification
  • New Posts
  • No New Posts