SMath Studio gives wrong result for this integral; BUG in SMath - Numeric integration, Symbolic calculation - Messages
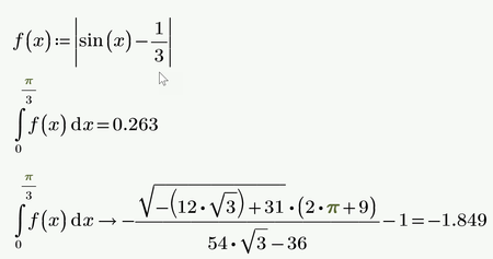
Why SMath studio does not give at least the correct result which is 0.263 for this integral?
Mathcad Prime 10:

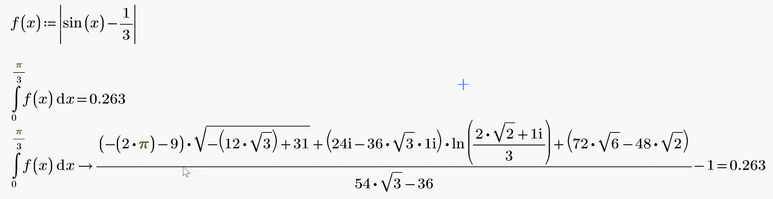
-1.849 result is comming from symbolic result calculation, which is wrong in this case, but numeric result 0.263 is correct here also in mathcad prime 10.
Mathcad Prime 6:

SMath Studio:

Wolfram mathematica:


maple-int-arcsin.sm (7.66 KiB) downloaded 1189 time(s).
WroteCould you post also the worksheet? As I do not know why my function arcsin(x) definition is not taken into account
Here it is, regards
int-embedded_maple.sm (6.97 KiB) downloaded 1172 time(s).

This is on a fresh install of SMath on a new Windows 11 PC that has never had SMath installed before.
WroteI tried to run this worksheet, and was asked to install Maple Tools. I tried to do this twice and both times, SMath crashed during the install - just vanished into the thin electron cloud, without so much as a goodbye or reason for leaving.
This is on a fresh install of SMath on a new Windows 11 PC that has never had SMath installed before.
I believe there is a problem with smath servers.
It gives the error if you try to install plugin.
Please be patient, it will be fixed soon I guess.
WroteWroteI tried to run this worksheet, and was asked to install Maple Tools. I tried to do this twice and both times, SMath crashed during the install - just vanished into the thin electron cloud, without so much as a goodbye or reason for leaving.
This is on a fresh install of SMath on a new Windows 11 PC that has never had SMath installed before.
I believe there is a problem with smath servers.
It gives the error if you try to install plugin.
Please be patient, it will be fixed soon I guess.
OK, that sounds feasible. I did have some trouble downloading SMath, with multiple requests to retry the download.
It would be nice if SMath handled the installation failure with an error message rather than just disappearing.
WroteWroteI tried to run this worksheet, and was asked to install Maple Tools. I tried to do this twice and both times, SMath crashed during the install - just vanished into the thin electron cloud, without so much as a goodbye or reason for leaving.
This is on a fresh install of SMath on a new Windows 11 PC that has never had SMath installed before.
I believe there is a problem with smath servers.
It gives the error if you try to install plugin.
Please be patient, it will be fixed soon I guess.
Yes, so it seems to me that SMath has stability problems. By now SMath can give you the answer/correct answer, and after few moments later it can give you incorect answer or SMath to not work properly. Strange things happen with SMath from what I see so far regarding the stability of functionalities or how stable is smath...If today I reach the correct answer, and tomorrow I need to show to other people the results I obtained and then I found that tomorrow SMath did not want to calculate the answer from previos day or to show the answer which I reached a previous day ago, I will be in an embarrassing situation in front of other people
There seems to be a problem in preprocessing/translation when using the Int() function.

Worksheet20.sm (7.27 KiB) downloaded 1151 time(s).
WroteThere seems to be a problem in preprocessing/translation when using the Int() function.
There is a load("abs_integrate)$ statement for these kind of situations.
If not used, maxima can't parse absolute integrals as I have understood.
https://maxima.sourceforge.io/docs/manual/de/maxima_181.html
It doesn't work on my linux commandline maxima however.
Possibly missing the module.
Regards
- New Posts
- No New Posts


