help me to solve this equation using iterative method

help me to solve this equation using iterative method - help me to solve this equation using iterative method - Сообщения

#1 Опубликовано: 01.09.2025 06:32:26
Spinach

Spinach

0 сообщений из 3 понравились пользователям.

Группа: User

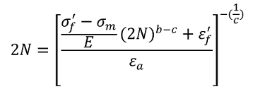
Please help me solve this equation to find the value of 2N; the values of other variables are known. This equation can be easily solved using iterative methods in Excel. How can I solve it in SMath?
EN疲劳寿命迭代公式 - 副本.PNG
equation.sm (47,88 КиБ) скачан 714 раз(а).
捕获.PNG
Отредактировано 01.09.2025 06:59:59
#2 Опубликовано: 01.09.2025 07:38:49
Davide Carpi

Davide Carpi

1 436 сообщений из 2 918 понравились пользователям.

Группа: Moderator

Here it is a solution using built-in solve

equation_solve.sm (51,75 КиБ) скачан 718 раз(а).
If you like my plugins please consider to support the program buying a license; for personal contributions to me: paypal.me/dcprojects
#3 Опубликовано: 01.09.2025 09:22:40
Spinach

Spinach

0 сообщений из 3 понравились пользователям.

Группа: User

Wrote

Here it is a solution using built-in solve

equation_solve.sm (51,75 КиБ) скачан 718 раз(а).



Thank you very much for your clarification
  • Новые сообщения
  • Нет новых сообщений