Trouble finding location of the maximum of f(x) function using derivatives - I am trying to find the location where maximum moment occurs. I have - Сообщения
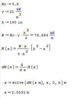
I am trying to develop a method to calculate the location of maximum moment using the superposition method. My thought was to create an expression M(x), take the derivative = 0 which would be the location of maximum moment.
However, I'm not sure why the solver isn't returning any roots. Is this a problem because my variables have units?
I read into https://smath.com/en-US/forum/topic/WRWWAT/Max-value-of-function thread and the second post had an example file, but my function was not working in there when I tried replacing it.
As an aside, what is the vertical bar in this photo called and what is it's purpose? I tried searching for it but I have no clue what it is even called. Same goes for the arrow above the f(x_c).

Moment Test.sm (30,71 КиБ) скачан 832 раз(а).

About the line() instruction in the examples that you mention, as in smath the calculations are performed from left to right and from top to bottom, it is simply used so that the graph on the right can be drawn, otherwise it would have to be placed below.
Your problem solved using the procedures in the reference:
maximun.sm (51,09 КиБ) скачан 877 раз(а).
Best regards.
Alvaro.
WroteHi. Yes, you are right, there is a problem with the units. This is a way for handle units using solve:
About the line() instruction in the examples that you mention, as in smath the calculations are performed from left to right and from top to bottom, it is simply used so that the graph on the right can be drawn, otherwise it would have to be placed below.
Your problem solved using the procedures in the reference:
maximun.sm (51,09 КиБ) скачан 877 раз(а).
Best regards.
Alvaro.
Is there a way to have the solve only spit out the positive number for x instead of a matrix?
Hello! For your x solve how come you put h in the brackets when it is a constant? The post above yours doesn't have as many inputs but appears to accomplish the same thing. What are the extras in your solve call doing?
The '0' and the 'h' are the limits of x between which 'solve' searches for a solution.
Wrote... Is there a way to have the solve only spit out the positive number for x instead of a matrix?
Hi DM. There are several ways. This two, for example:

Moment Test.sm (33,91 КиБ) скачан 856 раз(а).
Wrote... Hello! For your x solve how come you put h in the brackets when it is a constant? The post above yours doesn't have as many inputs but appears to accomplish the same thing. What are the extras in your solve call doing? ....
Hi Stv. Which solve?
Best regards.
Alvaro.
Hi Stv. Which solve?
Best regards.
Alvaro.
Hi Alvaro,
Not sure what you're getting at! I simply took the 'solve' that DM had used and added the two limits (0 and h), as well as inserting units.
Best regards,
Stv.
Wrote... Not sure what you're getting at! I simply took the 'solve' that DM had used and added the two limits (0 and h), as well as inserting units. ...
It seems my browser didn't load the image you attached when I ask about which solve. I just saw your image now. You're right; the most practical way is to limit the search to the range [0, h].
Best regards.
Alvaro.
- Новые сообщения
- Нет новых сообщений
