Catenary Cable Analysis - Catenary Cable Analysis based on Alvaro’s Contribution - Messages
Recently you published on the SMath Forum a solution for the subject of catenary cable analysis.
https\003A\\002F\\002F\en\002E\smath\002E\com\002F\forum\002F\yaf\005F\postst25376\005F\al\002D\nl\002D\question\002E\aspx]Alvaro's post[/u]
Alvaro, I thank you again for this nice contribution that inspired my present developments.
1. Your catenary cable application is based on the catenary passing through three points.
2. Usually, in engineering applications, the basic cable unit, acted by a uniform load along its axis, is a segment of a catenary curve between two ends. Generally, the cable ends are on uneven supports. That’s the main reason for the basics of my present contribution. My solution is based on the use of three conditions: 2 points + the cable length as given input infos.
3. I used the Alvaro’s catenary geometric function choice, based on the use of 3 parameters (a; xo; yo):
4. For the solution of the 3 unknowns non-linear equation system, I used the basic Newton method, with a Jacobian obtained as well literally as numerically. The algorithm is robust enough but dependent also on a staring solution for the 3 unknowns.
5. I also reduced the 3-unknown system to a couple of 2 plus 1 unknowns.
6. I established some additional information as the end-point cable forces.
7. @Alvaro: please add some elegant equation solvers as those you used in your above-mentioned contribution, by using “al_nleqsolve”, FindRoot” methods or others. I failed in my attempt to follow your examples. Probably there are some tips that I miss…
8. My development is not enough documented. If useful, I can add some complements.
9. At this occasion, I took a look on the Wikipedia available publication:
https://en.wikipedia.org/wiki/Catenary#Notes]Wikipedia Cable[/u]
Their development is wrong for an uneven cable as it is pretended. I demonstrated it at the end of my file.
I hope to be useful for the interested people and I humbly look for critics and suggestions.
Best Regards,
Ioan
Hibbeler, problem 7.107.pdf (292.32 KiB) downloaded 777 time(s).
Hibbeler, problem 7.112.pdf (374.8 KiB) downloaded 752 time(s).
Hibbeler, catenary.sm (119.36 KiB) downloaded 1287 time(s).
Best regards.
Alvaro.
Thanks for your attention and for the promptitude of your answer.
Of course, I do not insinuate that I thought that’s you who discovered the “catena” problem. But, I do appreciate much your good intuitions on the subject, as that of the necessity of 3 parameters for a general formulation of the problem. Your post stimulated me for my developement, directed mainly for the practical engineering design and use as well for a FEM approach.
I have read many hundreds of pages dedicated to the subject. The history of this problem can be traced back to Galileo Galilei (1638), who seems to be the first to recognize that a cable under its own weight is not a parabola but a catenary. However, even in our time, there are still vehiculated some wrong solutions of the problem, as that I identified in the Wikipedia.
For any good use, here is a synthesis of information as I used in my development:

Thanks again for your well-appreciated attention and patience.
Best regards,
Ioan
NOTE:
Regarding the cable defined with 3 points, I have a friend who uses, since long time ago, this method for assessing the forces in the cable, by a mixture of topographical measurement of 3 points coordinates on an existing cable, following with an analysis similarly to your approach
Wrote...
4. For the solution of the 3 unknowns non-linear equation system, I used the basic Newton method, with a Jacobian obtained as well literally as numerically. The algorithm is robust enough but dependent also on a staring solution for the 3 unknowns.
5. I also reduced the 3-unknown system to a couple of 2 plus 1 unknowns.
6. I established some additional information as the end-point cable forces.
7. @Alvaro: please add some elegant equation solvers as those you used in your above-mentioned contribution, by using “al_nleqsolve”, FindRoot” methods or others. I failed in my attempt to follow your examples. Probably there are some tips that I miss…
8. My development is not enough documented. If useful, I can add some complements.
9. At this occasion, I took a look on the Wikipedia available publication:
https://en.wikipedia.org/wiki/Catenary#Notes]Wikipedia Cable[/u]
Their development is wrong for an uneven cable as it is pretended. I demonstrated it at the end of my file. ...
Hi Ioan.
4. Hibbeler methods uses also numerical solvers, which always depends on some initial guess values. Your approach looks very robust.
5. I see that, it result in a more understandable steps for the solution.
6. That's correct too.
7. Let me see if I can use Findroot and al_nleqsolve in your setup.
8. I guess that the complement that your work needs is the physical meaning of parameter a = w/F where w = weight / length and F = force. Also, y' = f'(x) = sinh( (x-xo) / a ), the angle θ = atan(f'(x)) and the tension in the cable T = F / cos(θ)
9. You're rigth, Wikipedia is wrong.
Wrote... Thanks for your attention and for the promptitude of your answer. ...
My comments about Hibbeler were because it is not my intention to correct an author of books that have been a bible of engineering for many years. In the previous problems it is shown that the solution for a suspension bridge is a parabola, and for the case of a linear mass distribution w(x)=wo*x the solution is a cubic parabola, and perhaps that is why he poses the solution for the catenary in the same way, but the complexity of the mathematics and the length of the method make it an ideal candidate for calculation errors.
Regarding the summary you present, I find it perfect, and the only observation would be that you do not take out the common factor "a" because SMath does not perform the product of a scalar by a vector automatically, at least symbolically, and that can complicate the use of Findroot, for example.
Best regards.
Alvaro.
Thank you for your return. I totally agree with your comments. Here after there are some additional comments of mine.
I know that in the literature there is sometimes included in the catenary curve also some physical interpretation.
In my opinion, this is not useful for the “pure” basic problem. I think it is reasonable to consider the inextensible catenary problem only as a pure geometrical subject.
For the engineering applications, it can be added a mechanical layer, as I produced in my development. It is important to avoid hiding “the truth” that the geometry of an inextensible catenary cable is totally independent of the magnitude of the applied load (with the condition that the load is distributed as the cable uniform own weight).
In the classical cable’s analysis as in our present exchanges, the cable is well defined with 3 parameters. In my other developments, I use these 3 parameters: H = xB-xA; V = yB-yA; LAB (the developed cable length). More than that, the problem can be simplified by using only 2 input information: tg_gamma = V/H; L = sqr(H2+V2)/ LAB. With a totally different approach (not yet published), I reduce these 3 parameters to only 2 adimensional parameters and the cosh(x) function. The results are totally identical to what we obtained here. More than that, the mathematical solution can be reduced to 2 separate equations.Some similar solutions (less cleaners then mine
I’m afraid that we are not in the most appropriate place to develop too far on the subject.
The suspended bridges are a more complicated case of seeing that the loads have complex situations. If the cable weight is ignored and if the bridge loads are uniformly distributed horizontally, the second-degree parabola is the right solution. The use of some refined FEM solutions can lead to more accurate results.
As about the Hibbeler’s books, I can say this:
i) As a lot of peoples over the world, I’m impressed and I admire the great variety of applications from the real world treated by him. This didactic approach is still very appreciated and formative.
ii) Fundamentally, all his examples can be simply solved with some computer’s programs. It is not too clever to "rediscover the fire and the wheel for each application". Saying this, it could be appreciated that such methods have also a “regressive” role.
Finally, I’d like to say that it is delightful for me to exchange with you. I appreciate your wide field of knowledge, accompanied with an open mind and a good will! I assure you that I have not any hidden intentions…
NOTA:
It is interesting to take a look on this:
https://ro.uow.edu.au/cgi/viewcontent.cgi?article=2456&context=engpapers
Best regards,
Ioan
Wrote... As about the Hibbeler’s books, I can say this:
i) As a lot of peoples over the world, I’m impressed and I admire the great variety of applications from the real world treated by him. This didactic approach is still very appreciated and formative.
ii) Fundamentally, all his examples can be simply solved with some computer’s programs. It is not too clever to "rediscover the fire and the wheel for each application". Saying this, it could be appreciated that such methods have also a “regressive” role. ...
Hi Ioan. Here, some problems solved starting with the differential equations, like in the book.
RK-Hibbeler.sm (271.18 KiB) downloaded 1254 time(s).
RK-Hibbeler.pdf (807.69 KiB) downloaded 869 time(s).
Best regards.
Alvaro.
Thanks a lot for this post. I’m very impressed on the compactness and the beauty of your solutions, based on differential equations.
The fact that you build your development on the basis of a classic book is one more reason for admiration.
1. As on my side, I usually use (probably also due to the limits of my mathematical skills and my practice) procedures more closed to the physical significance. For instance, I do not appreciate the fact that these approaches, for the case of inextensible cables, do not let to clearly understand that the cable’s geometry is independent on the magnitude of loads (!!!). Longtime, myself, probably as many others, I understood the contrarily.
2. I prefer to formulate the approaches on cables by using, if possible, parametric expressions. Here is not the right place to develop this. However, here is a formula for the parabolic cables it is enough to use 3 physical data (H; V and L) that can be reduced to 2 dimensionless data (tg_gamma = V/H and lambda = H/L). A representation of this idea is here:

m is obtained for fitting the input cable L.
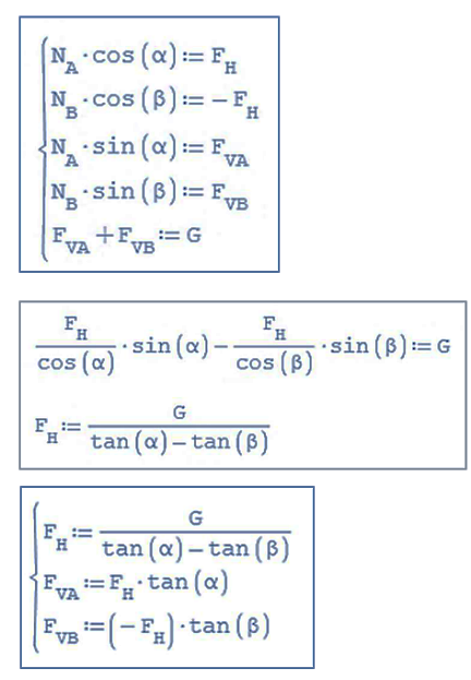
3. Reviewing my post #1 I identified errors in the procedure for obtained of end forces after the geometry identification. Comprehensive expressions are here:

4. Finally, I wonder if you have in mind also some such elegant approaches to deal with the elastic cable and for the application for the taut cable (cable length smaller than the segment of the line between the cable ends). And why not, while we are on dream wishes, to cover also the cables acted on concentrated loads.
Best Regards and an Excellent Week-End,
Ioan
ElasticCatenary.sm (16.68 KiB) downloaded 1173 time(s).

Best regards.
Alvaro.
Wow!!! Congratulations! What’s amazing is the compactness and the apparent simplicity… and also your speedy reaction.
At this time, I cannot confirm or deny your results (based on Wikipedia). I beg your pardon for the transitorily exclusive side position.
I’ll check your results on the extensible cable because I have my own development on this item. For the next week, I’ll not be available
On the other side, I confirm that I’ve checked our results for the inextensible cable, against an alternative method of mine. They perfectly fit.
Best Regards,
Ioan

ElasticCatenary.pdf (280.75 KiB) downloaded 766 time(s).
ElasticCatenary.sm (71.34 KiB) downloaded 1127 time(s).
Best regards.
Alvaro.
OK, just keep in mind that there are rules for writing complex expressions. When copying a string from the buffer into a document, you should get an adequate expression. If so, then the line in the description should be executed.
Best regards.
Alvaro.
Here I developed some additional approaches for the structural analysis of a cable.
Ioan_ Structural Cables v3 20241013.sm (278.8 KiB) downloaded 1209 time(s).
All my approaches are based on the use of the equation used by you here, in the first post.
This formula is based on 3 parameters: a; xo; yo.
In my previous posts, I used i) 3 simultaneous equations; ii) a couple of 2+1 equations.
My previous posts used no unit input data.
Three distinct input data (H; V; L) are enough to define an inextensible cable.
For avoiding units and in order to produce a more general approach, I use here ratios without units.
Using the hyperbolic trigonometry results, I reduced the problem of the 3 simultaneous equations in a problem with 3 separate equations. One of these 3 equation is containing a hyperbolic sinus that I developed in series, and here I obtained a 4th degree algebraic equation; so, I can avoid the use of "solve" function.
I also developed an approach for the extensible cable, by using a classical mechanical procedure integrating the variation of the axial force feature.
@Alvaro: I’m very interested to see if by using your Runge-Kuta integration of the basic differential equations for cables can be checked my results.
Best Regards,
Ioan
ElasticCatenaryExample.sm (43.47 KiB) downloaded 1220 time(s).
Best regards.
Alvaro.
WroteMy old solution on Mathcad Calculation Server
http://twt.mpei.ac.ru/MCS/Worksheets/chain.xmcd
Thanks for the information.
I checked your results against my development.

Both are based on the same initial geometrical equation.
You use a 3 equations system to find (with the Mathcad nonlinear solver) the 3 problem's parameters.
As you can see, our results fit enough.
What do you think about the extensible cable ?
Regards,
Ioan
WroteHi Ioan. This is a first approach.
ElasticCatenaryExample.sm (43.47 KiB) downloaded 1220 time(s).
Best regards.
Alvaro.
Hi Alvaro,
Thank you very much for your interesting work.
Firstly, I compared your results with mines.
I observed that they do not fit. I suppose that the reason could belongs to the fundamentals of procedures.
I tried to use your file for simulating the inextensible cable, by the adoption of a big "A" value. I failed in my attempt.
I revisited my work and I put in the appended file a revision with some additional information.
Ioan Synth 20241014.sm (72.58 KiB) downloaded 1171 time(s).
I have some doubts on the accuracy of my procedure.
My approach is based on the assumption that the cable is acted by axial forces, variables on its length. I determined these forces and I integrated on the length in order to obtain the total elongation of the cable.
I forced an approximation by considering that the deformed cable, even if its axial deformation is non-uniform, still can be considered as a catenary. I admitted this hypothesis, thinking that the specific elastic deformations are small enough.
In the final analysis, I considered the deformed cable as a catenary. So I calculated it with the rigid approach, for the obtention of the final results.
I mention that I used only the initial total weight and not as the initial input value distributed on the total length. This aspect seems not as beeing considered in the Wikipedia approach (?).
I also tried to approach the Wikipedia development basics.
My main question for you is why your approach do not produce good results for the inextensible cable ?
Best regards,
Ioan
WroteMy old solution on Mathcad Calculation Server
http://twt.mpei.ac.ru/MCS/Worksheets/chain.xmcd
Hi Valery. A semi-symbolic and a pure numerical solution from the differential equation.
Catenary-Ochkov.pdf (123.81 KiB) downloaded 708 time(s).
Catenary-Ochkov.sm (30.3 KiB) downloaded 1238 time(s).
Best regards.
Alvaro.
Wrote... Firstly, I compared your results with mines. I observed that they do not fit. I suppose that the reason could belongs to the fundamentals of procedures. ...
Hi Ioan. As first comment, now I see that you use L as the length of the rigid catenary, meanwhile I use it as length of the elastic one. Also, I'm not sure about the parameter E, if it is in kN, kN/m or kN/m^2. Usually, one identify the parameters by its units, but the differential equation can have some units inconsistencies, derived from the convention that parametric curves have not units. For instance, I don't know if assign the unit meter to the curve parameter p, which is more consistent with the units in the ODE.
Best regards.
Akvaro.
- New Posts
- No New Posts