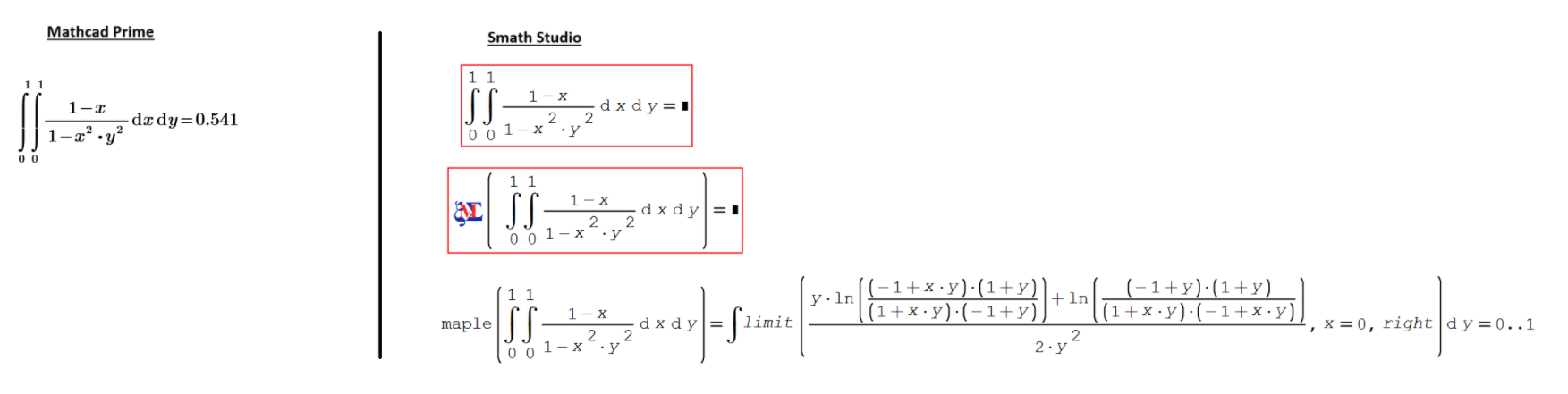
SMath Forum SMath Studio Questions Smath cannot calculate numerically this double integral No2 1 Pages (2 items) Smath cannot calculate numerically this double integral No2 - Messages Go to last post #1 Posted: 12/26/2024 3:21:18 AM Cornel 2 likes in 78 posts. Group: User Hi,Another integral which Smath cannot solve while Mathcad Prime can: #2 Posted: 12/26/2024 4:27:57 AM Oscar Campo 135 likes in 309 posts. Group: Moderator Use evalf...Oscar 1 Pages (2 items) New Posts No New Posts