Smath cannot calculate numerically this double integral No2

Smath cannot calculate numerically this double integral No2 - Сообщения

#1 Опубликовано: 26.12.2024 03:21:18
Cornel

Cornel

2 сообщений из 78 понравились пользователям.

Группа: User

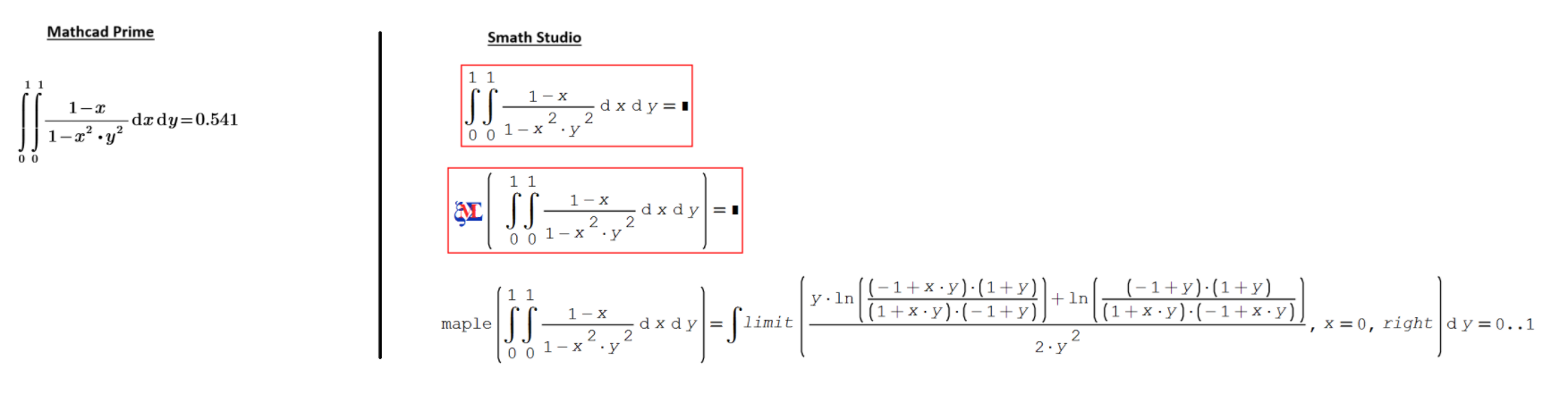
Hi,

Another integral which Smath cannot solve while Mathcad Prime can:

doubleintegral2.png
#2 Опубликовано: 26.12.2024 04:27:57
Oscar Campo

Oscar Campo

135 сообщений из 309 понравились пользователям.

Группа: Moderator

Use evalf...

image_2024-12-25_203425393.png

Oscar
  • Новые сообщения
  • Нет новых сообщений