Two-Step-Optimization

Two-Step-Optimization - y(x1 ,x2, x3...) - Сообщения

#1 Опубликовано: 27.04.2023 03:08:15
Valery Ochkov

Valery Ochkov

66 сообщений из 672 понравились пользователям.

Группа: User

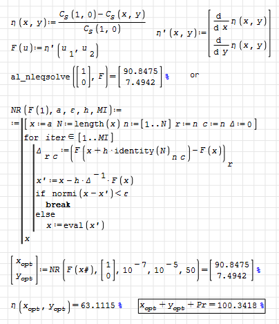
Do you know more correct method?

8-28-33-St-Isp.sm (63,66 КиБ) скачан 1027 раз(а).
33.png
#2 Опубликовано: 27.04.2023 13:48:42
Alvaro

Alvaro

1 081 сообщений из 1 754 понравились пользователям.

Группа: User

Wrote

Do you know more correct method?


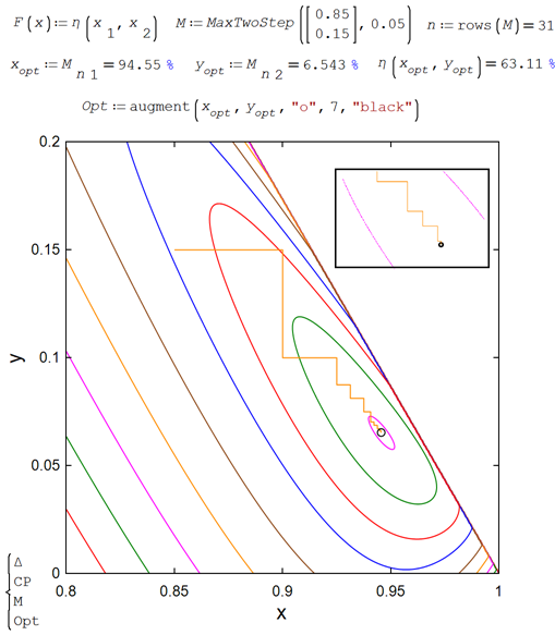
This one?

Clipboard01.png

Best regards.
Alvaro.
  • Новые сообщения
  • Нет новых сообщений